Estimating the tourism-induced province-specific environmental Kuznets curve Evidence from panel analyses of Chinese provinces

ABSTRACT
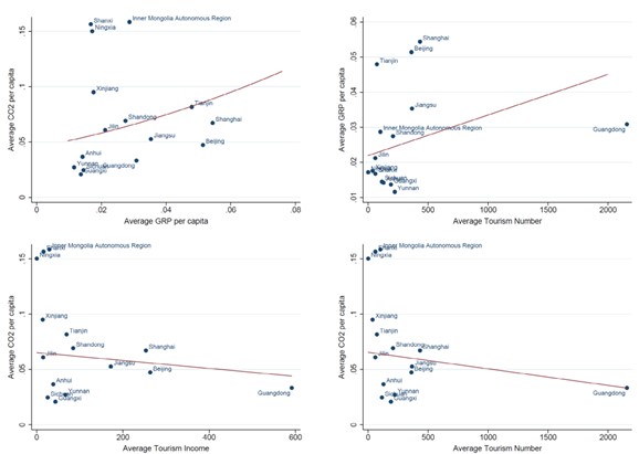
This article estimates province-specific tourism-induced environmental Kuznets curve (EKC) in China by using both standard panel data regression and a panel vector error correction model. We validate the EKC hypothesis in the long run but not in the short run, and show that tourism development reduces per capita CO2 inventory. We add to previous research by allowing for heterogeneous impacts of tourism development on CO2 level. Incorporating these heterogeneity effects changes the estimated turning point for EKC significantly. Additionally, it is found that all provinces are still on the increasing part of the EKC, contrasting the existing results.
KEYWORDS
Environmental Kuznets curve; Tourism industry; VECM
JCR CLASSIFICATION
Q2
International Journal of Tourism Research
https://doi.org/10.1002/jtr.2370